| Product Code | Product Name | Constitutional Formula | CAS NO |
| MXDA | Meta-Xylylenediamine |  | 1477-55-0 |
| PXDA | Para-Xylylenediamine |  | 539-48-0 |
| 1,3-BAC | 1,3-Cyclohexanebis(methylamine) |  | 2579-20-6 |
| 1,4-BAC | 1,4-Cyclohexanebis(methylamine) |  | 2549-93-1 |
| MACM | 4,4’-Methylenebis-2-methylcyclohexylamine |  | 6864-37-5 |
| PACM | 4,4’-Methylenebiscyclohexylamine |  | 1761-71-3 |
| BDMA | 1,3-Benzenedimethanamine |
| 404362-22-7 |
| HTDA | 1-methyl-2,4-Cyclohexanediamine |  | 13897-55-7 |
| HBPA | Hydrobisphenol A |  | 80-04-6 |
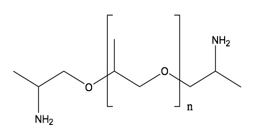
| ZD-230 | Polyetheramine D230 |  | 9046-10-0 |
| ZD-2000 | Polyetheramine D-2000 |  | 9046-10-0 |
| ZD-400 | Polyetheramine D400 |
| 9046-10-0 |
| ZT-403 | Polyetheramine T403 |
| 39423-51-3 |
| ZT-5000 | Polyetheramine T5000 |
| 64852-22-8 |